пожалуйста,срочно!! даю 53 балла (задание в файле)
Приложения:

Zombynella:
Контрольные и самостоятельные нельзя здесь выкладывать, модераторы удаляют и ваши задания, и наши решения, баллы снимают.
Ответы
Ответ дал:
1
Ответ:
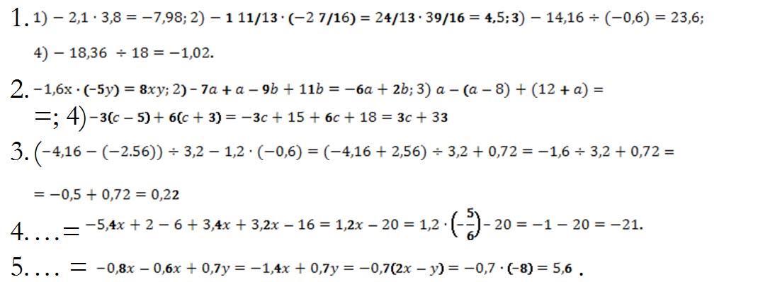
Ответы в прилагаемом файле
Пошаговое объяснение:
Приложения:

Вас заинтересует
2 года назад
2 года назад
8 лет назад
9 лет назад