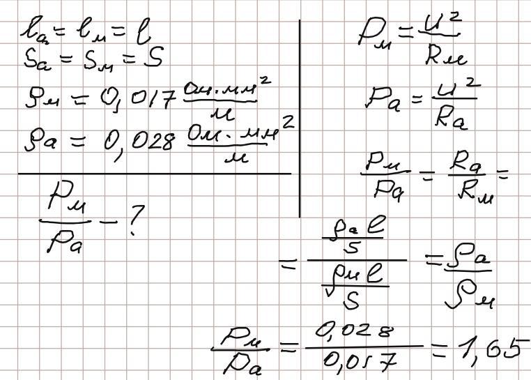
мідну та альмінієву дротини однакової довжини та площі поперечного перерізу з'єднали паралельно.Яка дротина споживає більшу потужність,якщо їх увімкнути в електричну мережу.У скільки разів?
Ответы
Ответ дал:
1
Відповідь: мідна дротина споживає в 1,65 разів більшу потужність
Пояснення:
Приложения:
Вас заинтересует
2 года назад
3 года назад
3 года назад
8 лет назад
8 лет назад
10 лет назад
10 лет назад