Ответы
Ответ дал:
1
Ответ:
Объяснение:
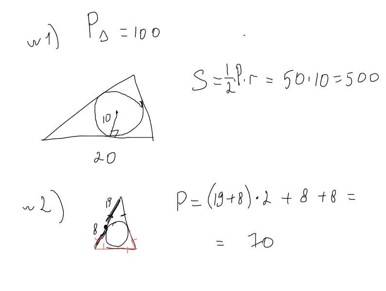
см приложение
Приложения:



strekozaludocka:
спасибо большое!
Вас заинтересует
2 года назад
2 года назад
2 года назад
2 года назад
8 лет назад
8 лет назад
9 лет назад