• Предмет: Алгебра
  • Автор: redblue2091
  • Вопрос задан 7 лет назад

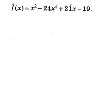
Итак, не знаю как решить это уравнение и возможно ли это, надеюсь кто-то сможет подобрать нули функции или как-то исследовать монотонность данной функции, всем спасибо огромное!!!

Приложения:

Ответы

Ответ дал: annbuts
1

Ответ:

f (x)=4⁴-24x²+21x-19

f(0)=0⁴-24*0²+21*0-19

f(0)=0-24*0+0-19

f(0)=-0-19

f(0)=-19

Вас заинтересует