• Предмет: Алгебра
  • Автор: svffj121
  • Вопрос задан 7 лет назад

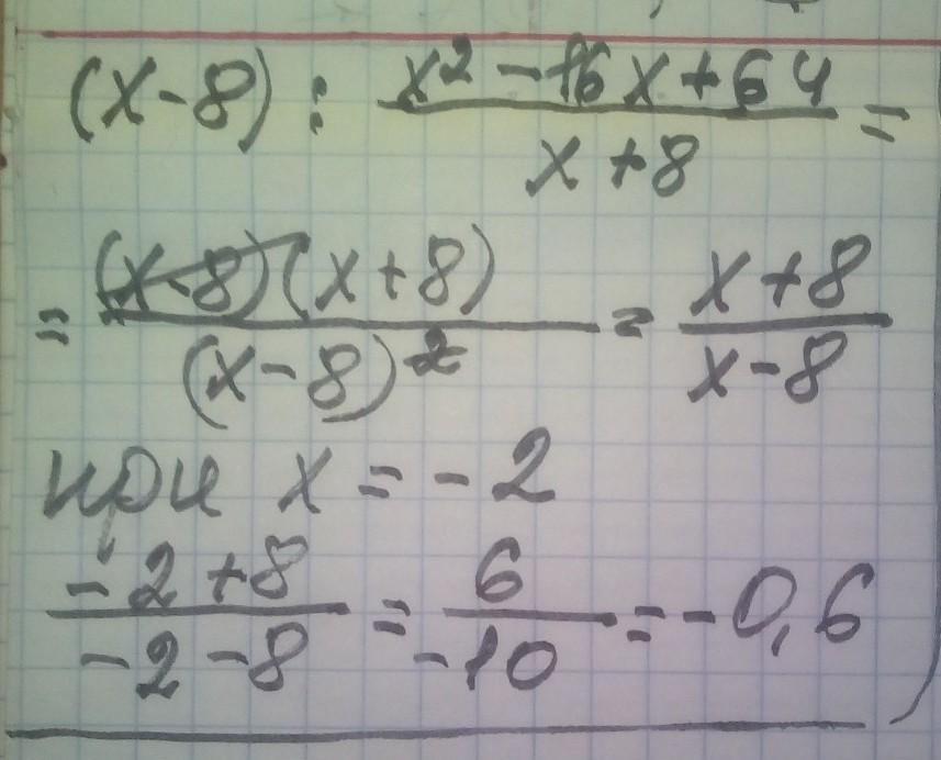
Найдите значения выражения


(x-8): x2-16x+64/x+8 при x= -2

В ответе -0,6

но мне нужно решение

Ответы

Ответ дал: manyny06
1

Ответ:

решение смотри на фотографии

Приложения:
Вас заинтересует