• Предмет: Алгебра
  • Автор: Аноним
  • Вопрос задан 7 лет назад

Решите неравенство
ДАЮ ЛУЧШИЙ ОТВЕТ

Приложения:

Ответы

Ответ дал: FrozenTears
2

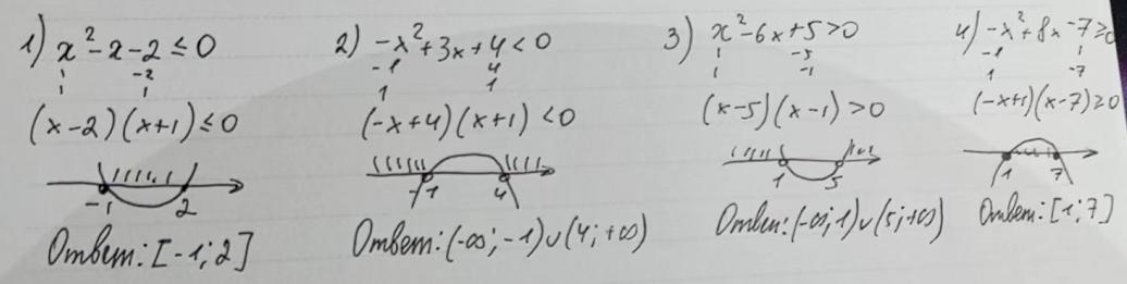
Решение на фотографии

Приложения:
Вас заинтересует