• Предмет: Математика
  • Автор: YSLmurda
  • Вопрос задан 7 лет назад

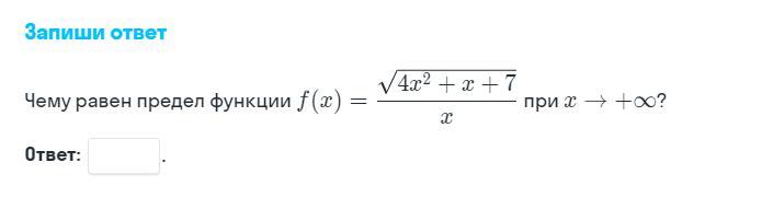
Найти предел функции

Приложения:

Ответы

Ответ дал: nepustilipoeta
1

Ответ:

2

Пошаговое объяснение:

подкоренное выражение положительно, т.к. первый коэффициент а=4, а дискриминант D=b²-4ac=1-7*4-7<0

√(4х²+х+7)=√4х²*√(1+4х+7/х²)=I2xI *√(1+4/х+7/х²)=2х*√(1+4х+7/х²);

√(4х²+х+7)/х=2х√(1+4/х+7/х²)/х=2√(1+4/х+7/х²)

предел этой функции равен 2, т.к. при х→+∞   √(1+4/х+7/х²)→1,

а 2*1=2


YSLmurda: Спасибо!
Вас заинтересует