Решите срочно пожалуйста!!!!!!!!!!!!!!!!!!
Приложения:

Гурлей:
всё решить?
Ответы
Ответ дал:
1
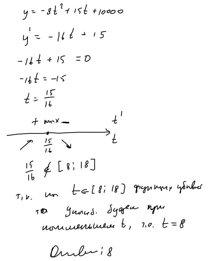
Ответ:
8
Объяснение:
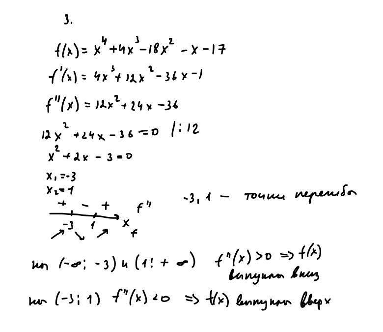
см приложение
Приложения:



Вас заинтересует
2 года назад
2 года назад
2 года назад
2 года назад
8 лет назад
8 лет назад
9 лет назад
9 лет назад