• Предмет: Математика
  • Автор: Аноним
  • Вопрос задан 7 лет назад

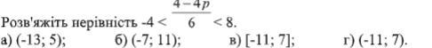
Розв'яжіть нерівність

Приложения:

Ответы

Ответ дал: nineliko26
1

Ответ:

г) (-11;7)

Пошаговое объяснение:

Приложения:
Вас заинтересует