• Предмет: Математика
  • Автор: Аноним
  • Вопрос задан 3 года назад

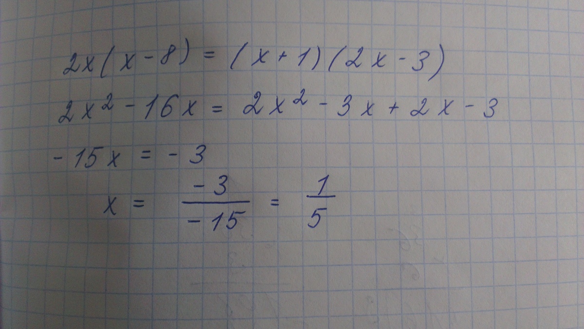
2x(x-8)=(x+1)(2x-3)
найдите корень уравнения

Ответы

Ответ дал: kuchnip
18
Вот так получается. Надеюсь, из фото будет ясно.
Приложения:
Вас заинтересует