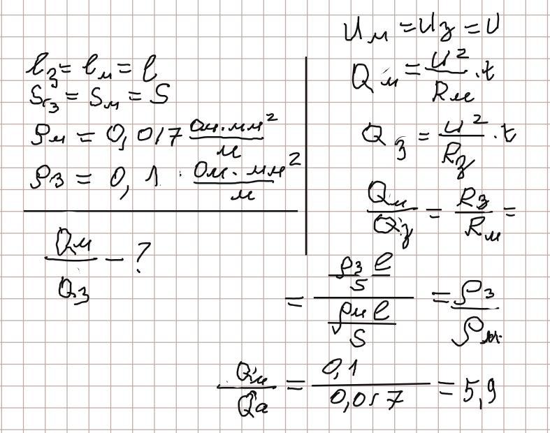
З'єднані паралельно залізний і мідний дроти однакового розміру підключено до джерела струму. Що можна сказати про кількість теплоти, яку вони виділяють?
Ответы
Ответ дал:
0
Відповідь:кількість теплоти, яку виділяє мідний дріт у 5,9 разів більша
Пояснення:
Приложения:

Вас заинтересует
2 года назад
2 года назад
2 года назад
2 года назад