• Предмет: Математика
  • Автор: ssdsfdf
  • Вопрос задан 7 лет назад

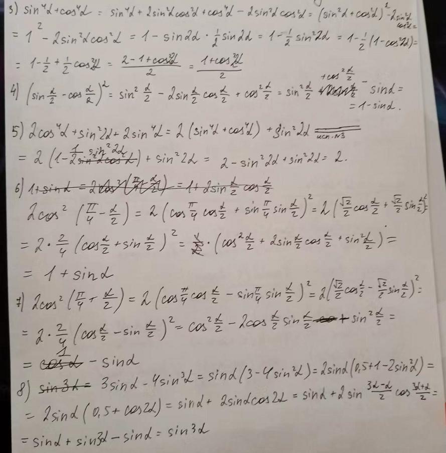
Помогите пожалуйста! Первые 2 не нужно. Желательно фото

Приложения:

Ответы

Ответ дал: FrozenTears
2

Кажется, в 9 забыли рядом с корнем из двух подписать синус.

Приложения:

ssdsfdf: Ты бог?
FrozenTears: по фану было))
Вас заинтересует