Ответы
Ответ дал:
1
Решение на фотографии.
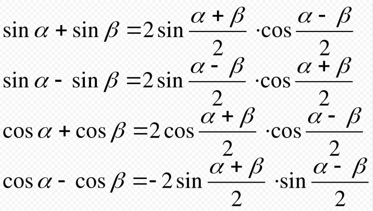
В первом шаге использовались формулы суммы (фото 2)
Приложения:


Вас заинтересует
2 года назад
2 года назад
2 года назад
8 лет назад
8 лет назад
9 лет назад