• Предмет: Алгебра
  • Автор: alena5566d
  • Вопрос задан 7 лет назад

ДАЮ 20 БАЛЛОВ, РЕШИТЬ ДВЕ СИСТЕМЫ ГРАФИЧЕСКИМ СПОСОБОМ, ГРАФИКОМ! ПРИМЕР КАК РЕШАТЬ У МЕНЯ В ПРОФИЛЕ!

Приложения:

Ответы

Ответ дал: natalyabryukhova
0

Ответ:

1. Ответ: (-1; 3)

2. Ответ: (-2; 0)

Объяснение:

Решить системы графическим способом.

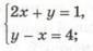
1.

\displaystyle        \left \{ {{2x+y=1} \atop {y-x=4}} \right.

Выразим у:

\displaystyle        \left \{ {{y=-2x+1} \atop {y=x+4}} \right.

Построим графики.

1) у = -2х + 1

- линейная функция, график - прямая.

Для построения достаточно двух точек:

х = 1; у = -1;

х = -1; у = 3.

Отмечаем точки на координатной плоскости и проводим прямую.

Аналогично строим второй график.

2) у = х + 4

- линейная функция, график - прямая.

х = 1; y = 5;

x = -2; y = 2;

Отмечаем точки на координатной плоскости и проводим прямую.

Координаты точки пересечения графиков и будут решением системы.

Ответ: (-1; 3)

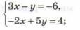
2.

\displaystyle        \left \{ {{3x-y=-6} \atop {-2x+5y=4}} \right.

Выразим у:

\displaystyle        \left \{ {{-y=-3x-6} \atop {5y=2x+4}} \right.\;\;\;\;\;\left \{ {{y=3x+6} \atop {y=\frac{2}{5}x+\frac{4}{5}  }} \right.

Построим графики.

1) у = 3х + 6

- линейная функция, график - прямая.

Для построения достаточно двух точек:

х = -1; у = 3;

х = 0; у = 6.

Отмечаем точки на координатной плоскости и проводим прямую.

Аналогично строим второй график.

2)  \displaystyle        y=\frac{2}{5}x+\frac{4}{5}

- линейная функция, график - прямая.

х = 3; y = 2;

x = 0; y = 4/5;

Отмечаем точки на координатной плоскости и проводим прямую.

Координаты точки пересечения графиков и будут решением системы.

Ответ: (-2; 0)

Приложения:
Вас заинтересует