• Предмет: Физика
  • Автор: osaulchakd
  • Вопрос задан 7 лет назад

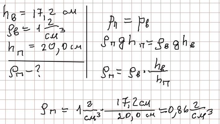
Стовп води у сполучених посудинах висотою 17,2 см зрiвноважує стовп дизельного палива висотою 20,0 Визначити густину палива. CM. ​

Ответы

Ответ дал: zybkov1950
1

Відповідь: 0,86 г/см³

Пояснення:

Приложения:

osaulchakd: велике дякую!!
Вас заинтересует