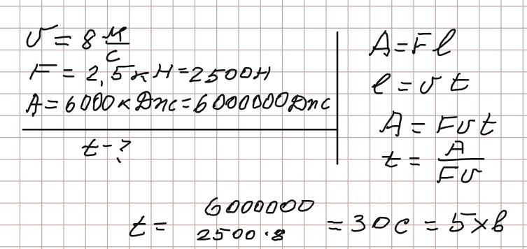
Зламаний автомобіль тягнуть на буксирі рівномірно прямолінійною дорогою зі
швидкістю 8 м/с. При цьому прикладають силу 2,5 кН. Який час тягнуть автомобіль, якщо
буксир здійснив роботу 6000 кДж? Відповідь подати в хвилинах. Допоможі будь ласка, даю 100 балів.
Ответы
Ответ дал:
13
Відповідь: 5 хв
Пояснення:
Приложения:
Аноним:
дякую
Вас заинтересует
2 года назад
2 года назад
3 года назад
3 года назад
8 лет назад
8 лет назад
10 лет назад
10 лет назад