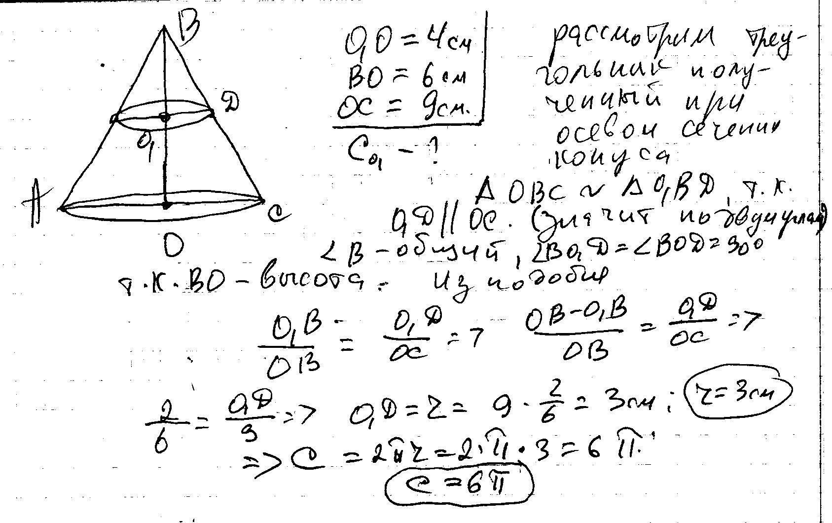
Конус перетнуто площиною, паралельною основі, на відстані 4 см. від неї.
Висота конуса дорівнює 6 см., а радіус основи - 9 см. Знайдіть довжину
кола перерізу.
Ответы
Ответ дал:
17
Конус перетнуто площиною, паралельною основі, на відстані 4 см. від неї.
Висота конуса дорівнює 6 см., а радіус основи - 9 см.
Висота конуса дорівнює 6 см., а радіус основи - 9 см.
Приложения:

Вас заинтересует
2 года назад
2 года назад
2 года назад
7 лет назад
7 лет назад
9 лет назад