Ответы
Ответ дал:
0
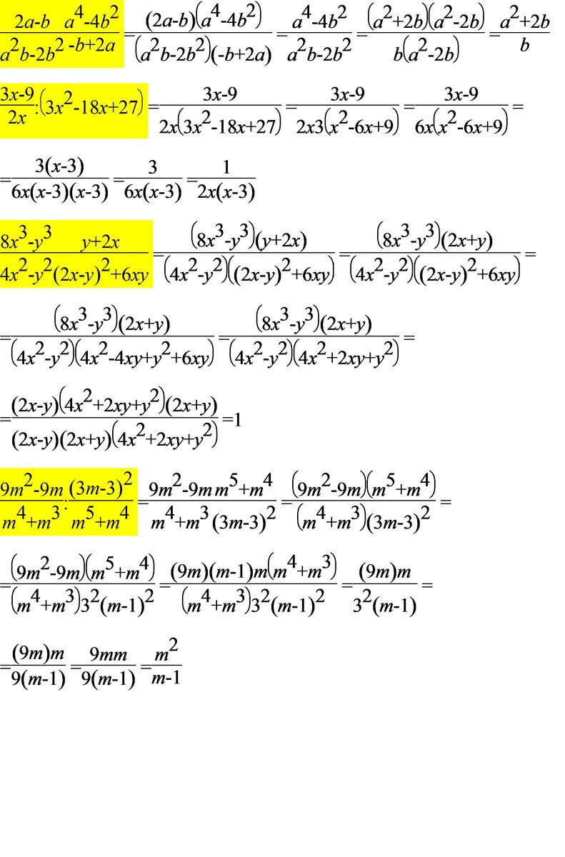
1)( 2a-b)/b(a²-2b) * (a²-2b)(a²+2b)/(2a-b)=(a²+2b)/b
2)3(x-3)/2x * 1/3(x-3)²=1/2x(x-3)
3)(2x-y)(4x²+2xy+y²)/(2x-y)(2x+y)*(2x+y)/(4x²-4xy+y²+6xy)=(4x²+2xy+y²)/(4x²+2xy+y²)=1
4)3m(3m-3)/m³(m+1) * m⁴(m+1)/(3m-3)²=3m²/(3m-3)
Ответ дал:
0
файл
==========================
Приложения:

Вас заинтересует
2 года назад
2 года назад
8 лет назад
8 лет назад
10 лет назад
10 лет назад