• Предмет: Математика
  • Автор: lidiatisenko484
  • Вопрос задан 7 лет назад

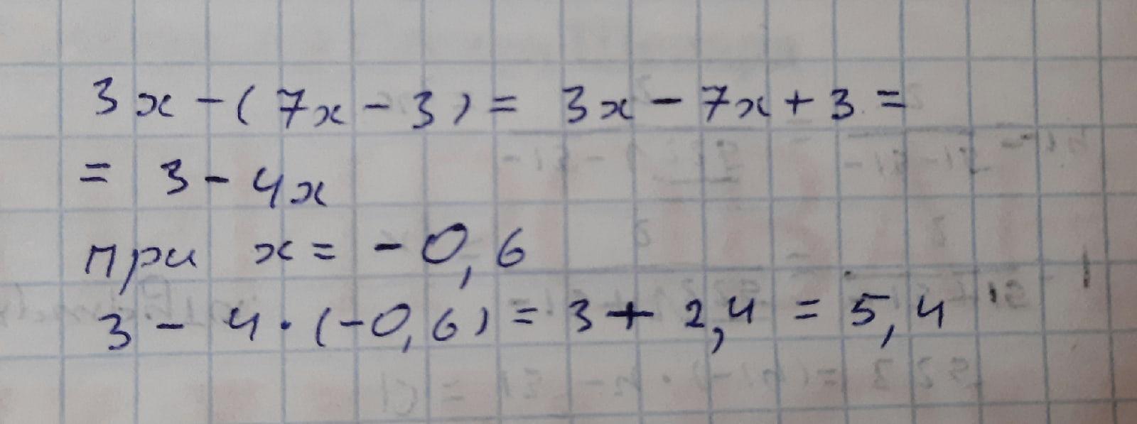
упростите выражение и найдите его значение 3x-(7x-3) при x=-0,6​

Ответы

Ответ дал: uk3788812
1

Відповідь:

5,4

Покрокове пояснення:

в фото

Приложения:
Вас заинтересует