Ответы
Ответ дал:
0
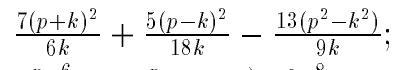
Ответ: 26k+16p/9
Решение в приложении
Решение в приложении
Приложения:

Вас заинтересует
2 года назад
2 года назад
9 лет назад