Напишіть рівняння дотичної до графіка функції y=1/2x-3x2 у точці х0 =1
polopsanya:
вибачаюсь там 12 а не 1/2
Ответы
Ответ дал:
1
Ответ:
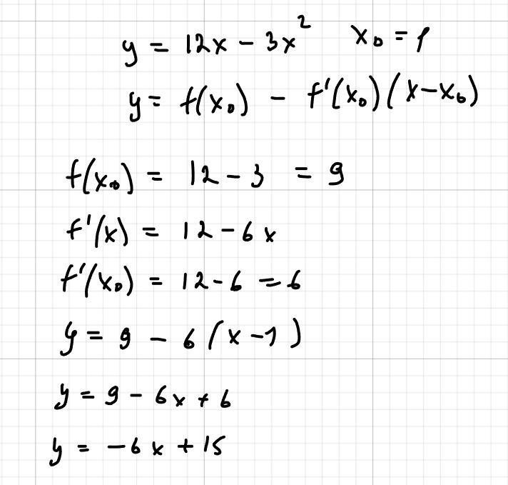
Пошаговое объяснение:
Приложения:

Ответ дал:
3
Написать уравнение касательной к графику функции y=(1/2)x-3x^2 в точке .
Ответ:
y=(-5,5х)+3
Пошаговое объяснение:
Правила нахождения производных, которые будут использоваться:
где х - переменная, с - постоянная.
Общий вид уравнения касательной к графику функции в точке :
Найдём производную функции:
Находим :
Находим :
Подставляем имеющиеся значения и
в вышеуказанное уравнение касательной к графику функции:
Вас заинтересует
2 года назад
2 года назад
2 года назад
2 года назад
8 лет назад
8 лет назад
9 лет назад