• Предмет: Математика
  • Автор: balin72
  • Вопрос задан 11 лет назад

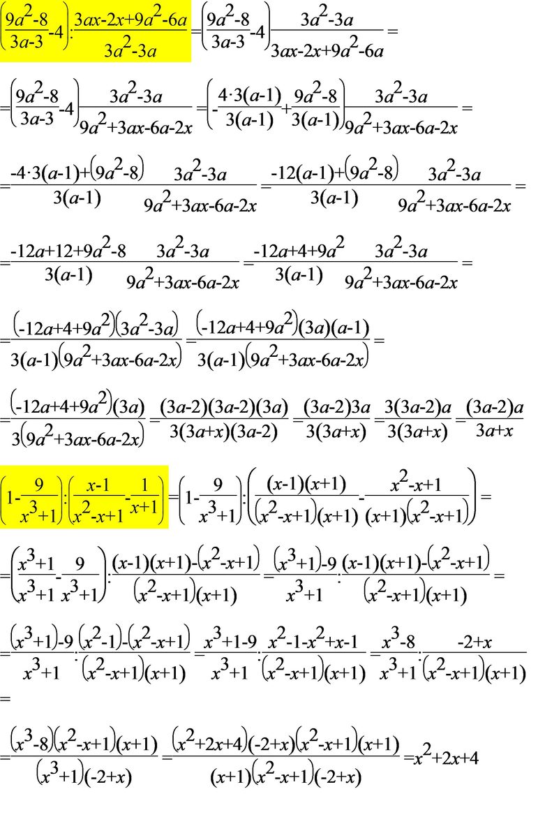
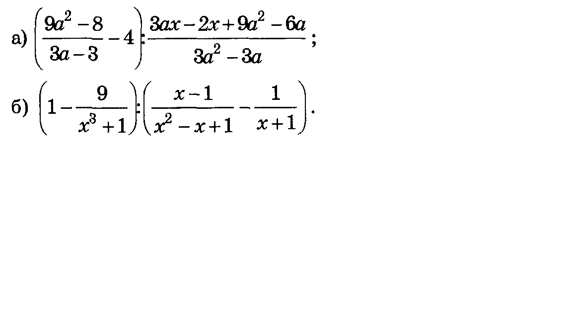
Вот еще.  продолжение,  нужно решить до 23.03.12 20:00 прошу помощи, кто решал предыдущее задание спасибо.

Приложения:

Ответы

Ответ дал: triolana
0

файл

====================================

Приложения:
Вас заинтересует