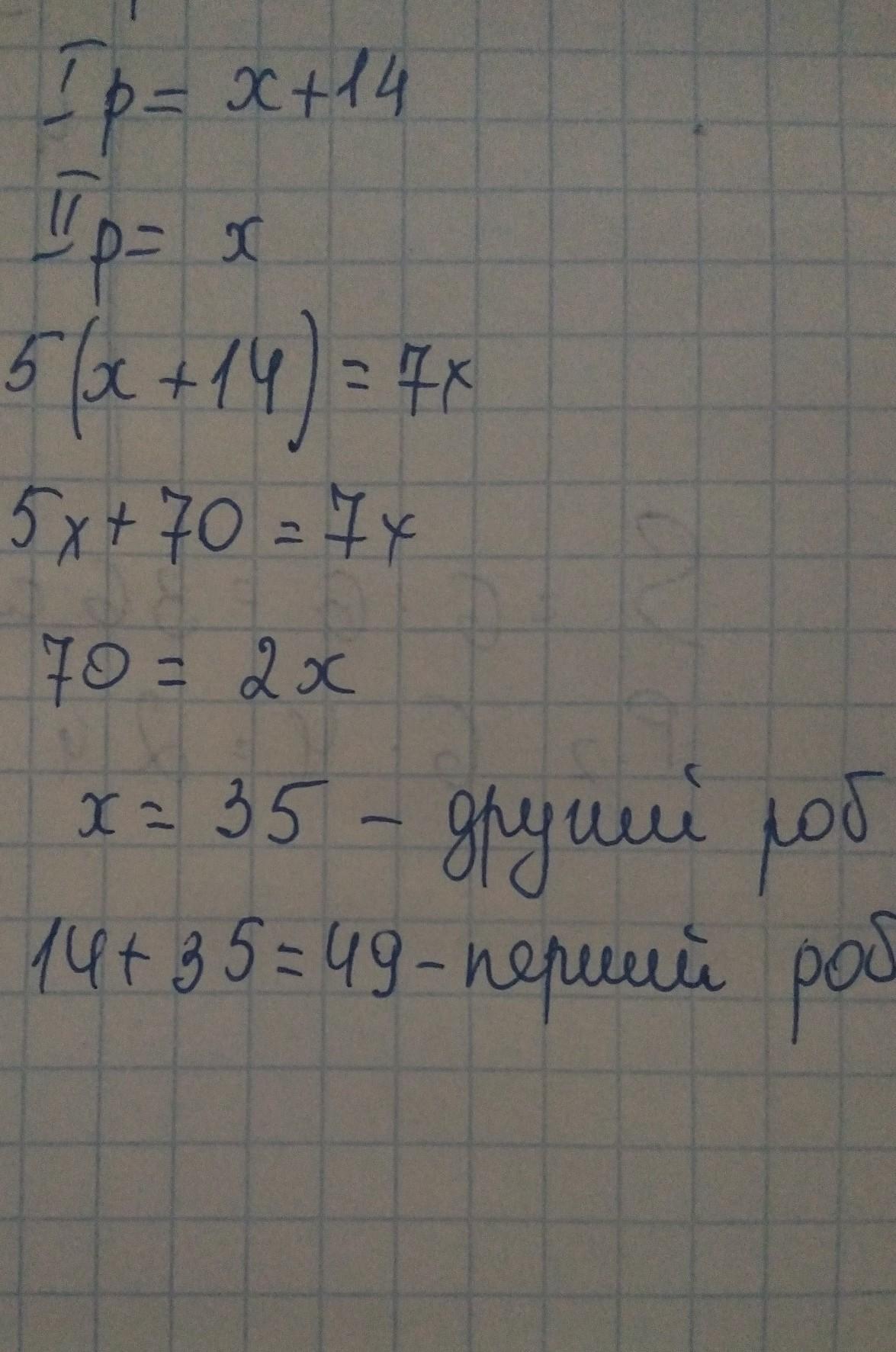
I робітник за 5 годин зробив таку саму кiлькiсть деталей, як II робітник за 7 годин. Скільки деталей за годину робили робітники, якщо II робітник вироблял на 14 деталей меньше, ніж I ?
Ответы
Ответ дал:
1
Ответ:
......................
Приложения:

Вас заинтересует
2 года назад
2 года назад
2 года назад
8 лет назад
8 лет назад
9 лет назад