• Предмет: Алгебра
  • Автор: maxcool05
  • Вопрос задан 7 лет назад

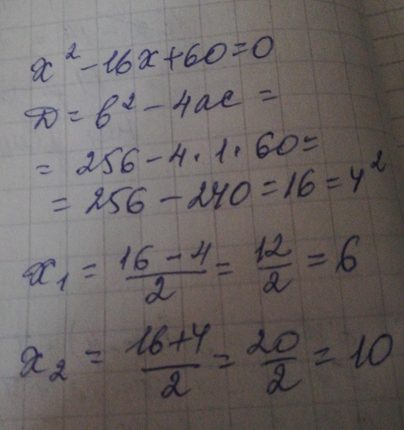
Решите уравнение x^{2} -16x+60=0

Ответы

Ответ дал: larisaserova53
0

Ответ:

Смотри решение на фото..

Приложения:
Вас заинтересует