• Предмет: Математика
  • Автор: qwiiqli
  • Вопрос задан 7 лет назад

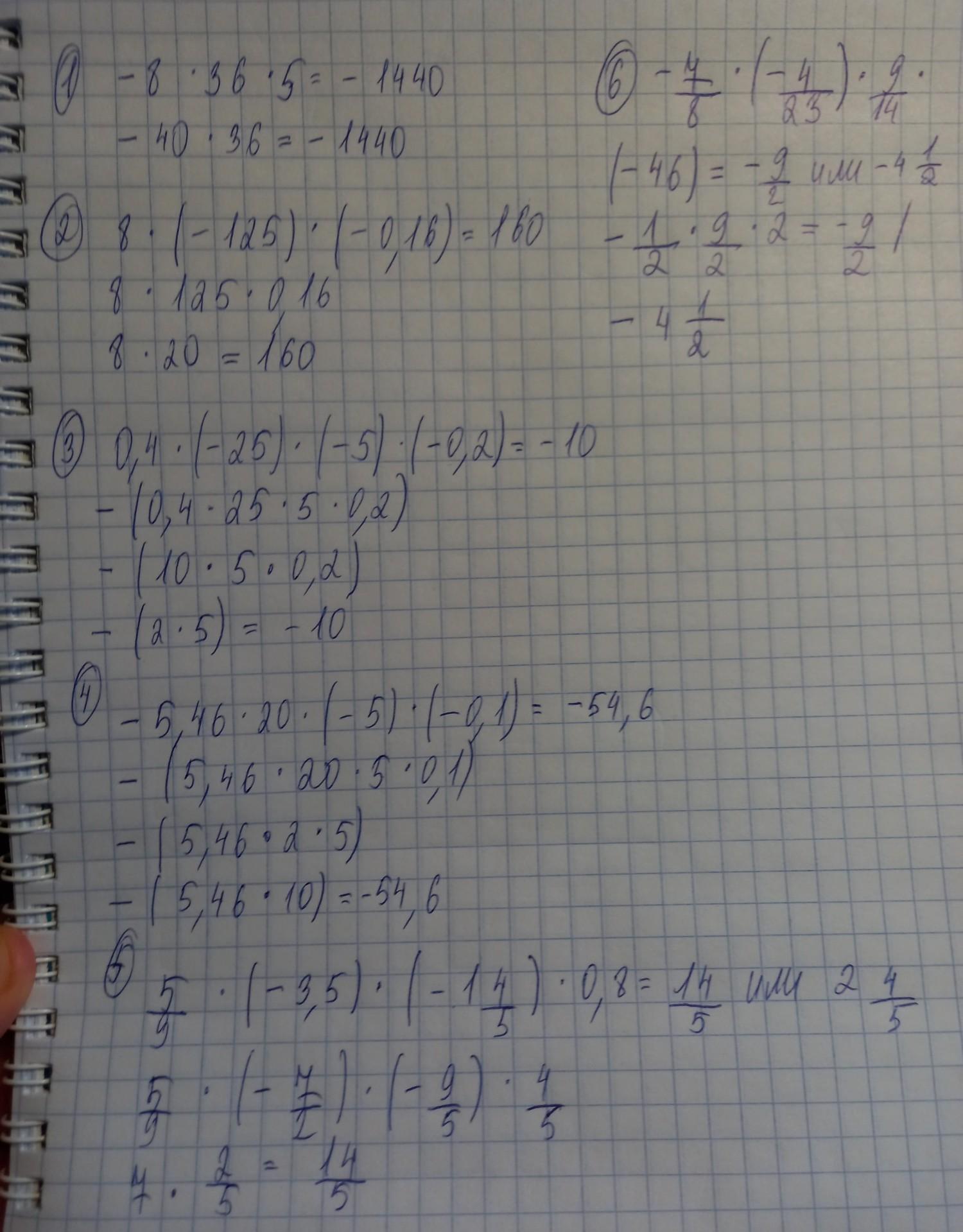
люди добрые, прошу, помогите с заданием, дам 20 баллов

Приложения:

Ответы

Ответ дал: HadjimeKokoaye
1

Моё решение как уравнение, но ты можешь записать, как обычный линейный пример,

Пошаговое объяснение:

Хорошего вечера, успехов в учёбе,

Приложения:

qwiiqli: спасибо большое!!
HadjimeKokoaye: ♡♡♡,
Вас заинтересует