• Предмет: Математика
  • Автор: raklovus
  • Вопрос задан 7 лет назад

как. просто объясните как.

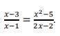
Приложения:

Ответы

Ответ дал: timofejgajdukov886
0
Это пропорция














Купить оружие звоните +7777777777







timofejgajdukov886: Это я по шутке написал
raklovus: Это не пропорция. Я уже перерешал. Нужно было вынести в 2м знаменателе 2(х-1)
Вас заинтересует