Ответы
Ответ дал:
0
Ответ:
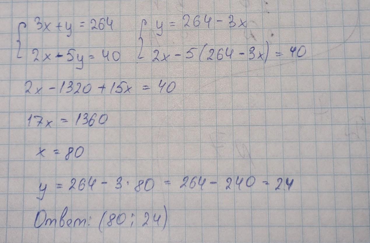
Ответ в фото выше.........
Приложения:

Ответ дал:
0
Ответ:
(21 35; 44)
( 75 75)
Объяснение:
2x=40+5y {x=40+5y:2 {x=20+2,5y {x=20+110:75 {x=21 35:75
3x+y=264 {3(20+2,5y)=264 {60+7,5y=264 {7,5y=264:60=4.4 {y=4.4:7,5
Вас заинтересует
2 года назад
2 года назад
2 года назад
2 года назад
8 лет назад
8 лет назад