Ответы
Ответ дал:
4
Ответ:
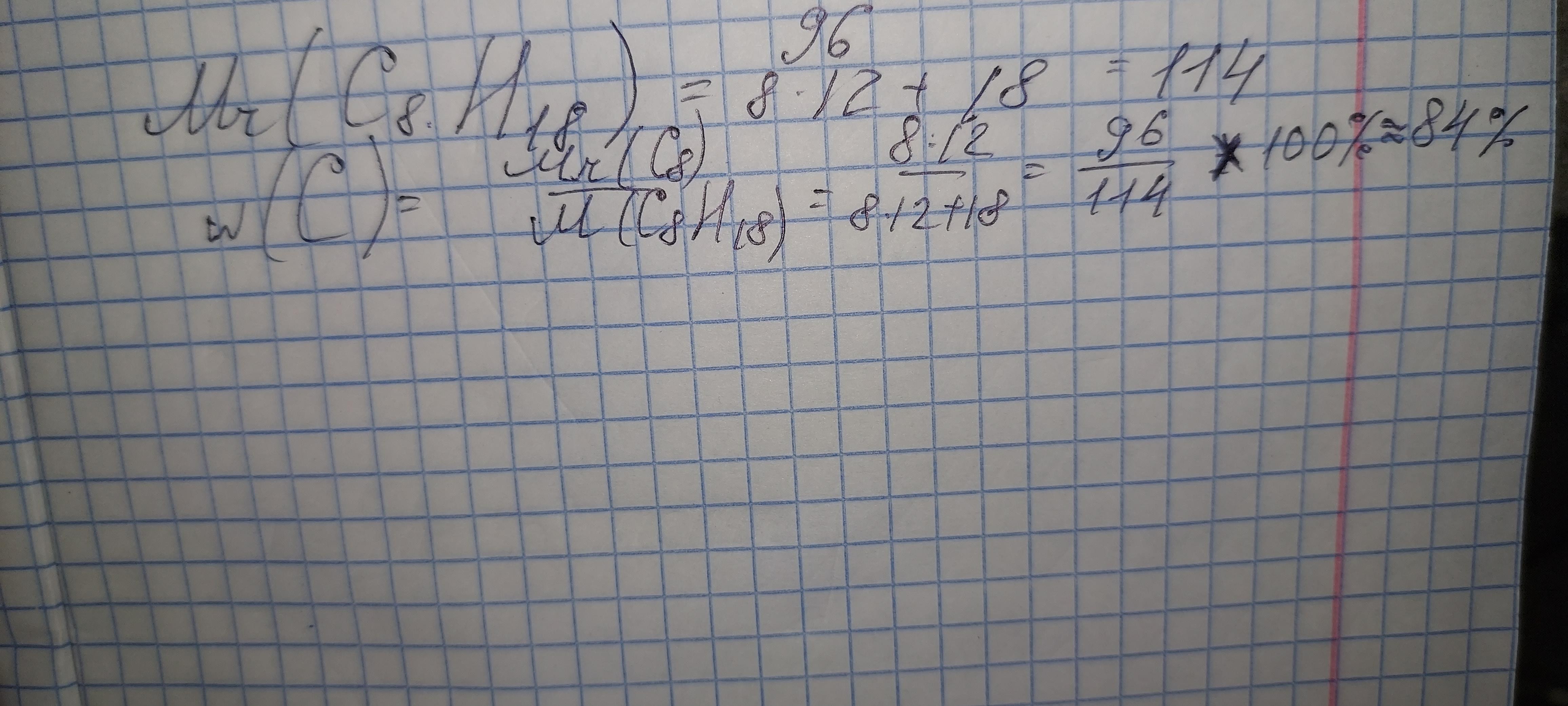
C8H18-формула октану
Объяснение:
Приложения:

koshovenko2000:
спасибо большое❤️
Вас заинтересует
2 года назад
2 года назад
2 года назад
8 лет назад
8 лет назад
9 лет назад