Даю 50 баллов, помогите
Показания ампреметра на схеме - 0.7 А. Определи, чему равна сила тока, протекающая через резистор R2.
R1=20 Ом, R2=2 Ом. (Ответ округлил до десятых).
Ответы
Ответ дал:
1
Ответ:
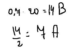
7 Ампер, если не ошибаюсь
Объяснение:
Приложения:

Вас заинтересует
2 года назад
2 года назад
2 года назад
8 лет назад
9 лет назад