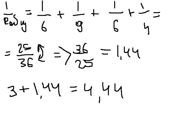
Сопротивления резисторов на участке цепи, представленных на рисунке: R1= 6 OM, R2= 9 OM, R3 = 3 Ом, R4 = 6 Ом, R5 = 4 Ом.. Чему равно их общее сопротивление?
Приложения:

Ответы
Ответ дал:
0
Ответ:
4,44
Объяснение:
См Решение (проверь)
Приложения:

Вас заинтересует
2 года назад
2 года назад
2 года назад
8 лет назад
8 лет назад
9 лет назад
9 лет назад