• Предмет: Физика
  • Автор: demanenkoalina208
  • Вопрос задан 7 лет назад

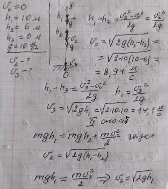
Тіло вільно падає з висоти 10 м. Яка його швидкість на висоті 6 м над поверхнею землі. Яка його швидкість на момент падіння на землю.
Помогите пожалуйста, надо решение с рисунком​


zybkov1950: 2 способи в залежності від теми, яку ви вивчаєте

Ответы

Ответ дал: zybkov1950
2

Відповідь:  8,94 м/с  14,1 м/с

Пояснення:

Приложения:

demanenkoalina208: спасибо большое
Вас заинтересует