• Предмет: Алгебра
  • Автор: danilnovik224
  • Вопрос задан 7 лет назад

сделайте пж примеры ​

Приложения:

wew213231wrwe: можешь уточнить?
danilnovik224: что
wew213231wrwe: что нужно делать
danilnovik224: хорошо щас
danilnovik224: системные уравнения
danilnovik224: можешь сделать пж с 515 до 519
wew213231wrwe: ну попробую но обещать не буду

Ответы

Ответ дал: tani4ka0
0

Ответ:

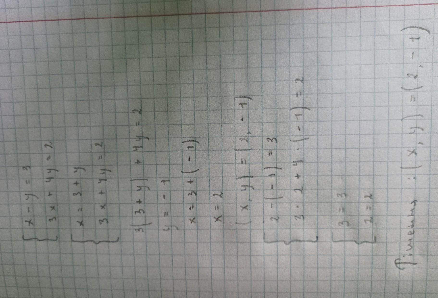
ось думаю так потрібно було

Объяснение:

вибачаюсь за перший листок, сестра постаралась

Приложения:

danilnovik224: реши пж еще 515-516-517 я тебе 100 балов скину
tani4ka0: добре, хвилинку
tani4ka0: якщо це номери, то скиньте
danilnovik224: 515,516,517
danilnovik224: там у меня в провиле посмотри там я щас выставил
tani4ka0: все, є)
danilnovik224: спасибо
Вас заинтересует