• Предмет: Физика
  • Автор: tomkevich2008
  • Вопрос задан 7 лет назад

Терміново!!!!Даю 50 балів!!!
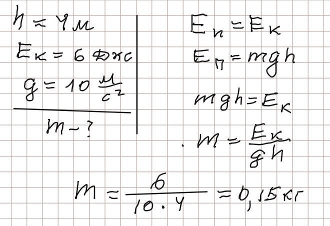
Яблуко падає з гілки на висоті h=4 м. Перед торканням землі яблуко має кінетичну енергію Ек=6 Дж. Визначте масу m яблука. Опір повітря не враховуйте,вважайте,що g=10 м/с2​

Ответы

Ответ дал: zybkov1950
1

Відповідь: 150 г

Пояснення:

Приложения:

tomkevich2008: Дякую
Вас заинтересует