• Предмет: Математика
  • Автор: Catomika
  • Вопрос задан 7 лет назад

Помогите пожалуста срочно!
Задание и пример как нужно делать на фото.

Приложения:

Ответы

Ответ дал: nepustilipoeta
4

1) 8*(6х-7)-17х=48х-56-17х=31х-56

2) 9у-5*(17-у)=9у-85+5у=14у-85

3) 2.5*(4а-8b)-(3a-4b)*1.4=10a-20b-4.2a+5.6b=5.8a-24.2b

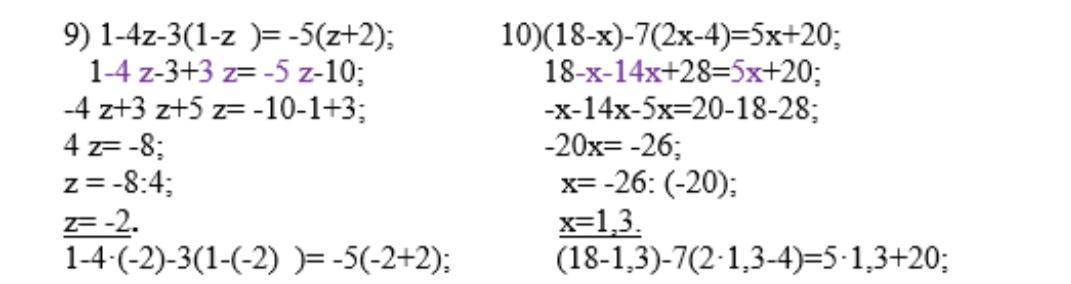
те. что ниже два примера. посмотрел. там все верно


korolivskijizomrud: Можешь пожалуйста ответить на последние вопросы в профиле
morrozoffv: можете пожалуйста помогти задание в профиле !!!!
morrozoffv: ????
solka0000: там в мене одне завдання на нерівність Чебишева , допоможіть , будь ласка
morrozoffv: пожалуйста помогите
morrozoffv: благаю допоможіть завдання в профілі
Вас заинтересует