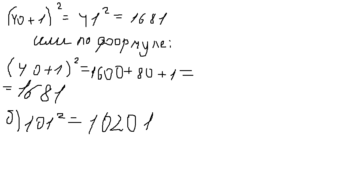
используя формулу квадрата суммы или квадрата разности , найдите значение выражения а) (40+1)в квадрате, б)101 в квадрате
Ответы
                                            Ответ дал: 
                                                                                    
                                        
                                            
                                                
                                                
                                                
                                                    0
                                                
                                            
                                        
                                    
                                        вот так получится :)
                                    
                                                Приложения:
                    
                            
                                            Ответ дал: 
                                                                                    
                                        
                                            
                                                
                                                
                                                
                                                    0
                                                
                                            
                                        
                                    
                                        хахахах
                                    
                                        
                                        
                                Вас заинтересует
                
                        2 года назад
                    
                
                        2 года назад
                    
                
                        8 лет назад
                    
                
                        8 лет назад
                    
                
                        10 лет назад
                    
                
                        10 лет назад
                    
                
                        10 лет назад
                    
                
                        10 лет назад