• Предмет: Математика
  • Автор: okolim
  • Вопрос задан 7 лет назад

Помогите пожалуста срочно!!
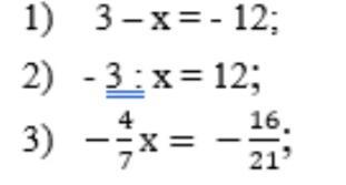
Задание на фото. Уравнения... :(

Приложения:

Ответы

Ответ дал: Dolzhansky
1

Ответ:

Пошаговое объяснение:

1) -х= -12-3= -15

х=15

2) х = -3 : 12= -1/4

3) -х = -16/21 : 4/7= -4/3

х=4/3=1 1/2


okolim: Спасибо большое за помощь!
Ответ дал: Someone2006
1
1) 3-х=-12
-х=-15
х=15
2) -3:х=12
-3=12х
х=-1:4
3) х=4/3
х=1 1/3

okolim: Спасибо большое за помощь!
Someone2006: не за что!
Вас заинтересует