• Предмет: Физика
  • Автор: drem18682
  • Вопрос задан 7 лет назад

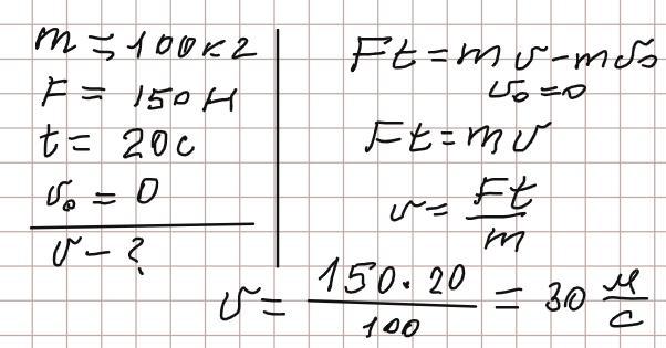
знайти кінцеву швидкість тіла масою 100 кг, якщо на нього протягом 20 с діяла сила 150 Н, початкова швидкість о м/с

Ответы

Ответ дал: zybkov1950
1

Відповідь: 30 м/с

Пояснення:

Приложения:
Вас заинтересует