Ответы
Ответ дал:
0
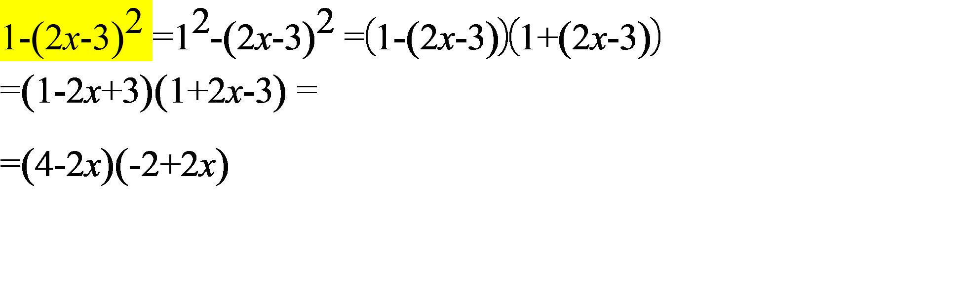
Формула разность квадратов... )
1 - (2x - 3)^2 = (1 - (2x-3) ) * (1 + (2x-3) ) = (1 - 2x + 3) * (1 + 2x -3) = (4-2x)(2x - 2)=
Выносим за скобки двойки:
= 2(2-x)2(x-1) = 4(2-x)(x-1)
=)
Ответ дал:
0
файл
=========================
Приложения:

Вас заинтересует
2 года назад
2 года назад
8 лет назад
10 лет назад
10 лет назад
10 лет назад