• Предмет: Алгебра
  • Автор: Supergirl455
  • Вопрос задан 7 лет назад

Помогите пожалуйста !

Приложения:

Ответы

Ответ дал: yugolovin
4

Ответ:

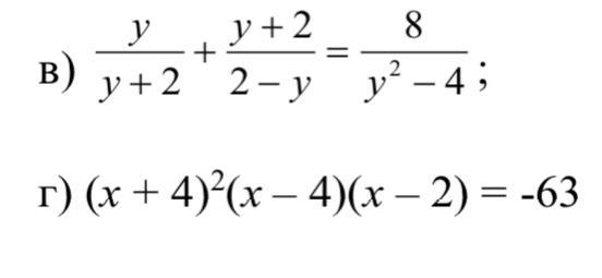
в) нет решений; г) нет решений

Объяснение:

в) Обычно в такой задаче советуют приводить к общему знаменателю, но мы пойдем другим путем, выделив слева целые части и разложив правую часть, воспользовавшись очень полезной формулой

                                \dfrac{1}{n(n+k)}=\dfrac{1}{k}\left(\dfrac{1}{n}-\dfrac{1}{n+k}\right)

Имеем:   \dfrac{(y+2)-2}{y+2}-\dfrac{(y-2)+4}{y-2}=\dfrac{2}{y-2}-\dfrac{2}{y+2};

1-\dfrac{2}{y+2}-1-\dfrac{4}{y-2}=\dfrac{2}{y-2}-\dfrac{2}{y+2};\  \ \dfrac{6}{y-2}=0. Решений нет.

г) Замена x-3=t; получаем уравнение

(t+7)^2(t-1)(t+1)=-63. Ясно, что левая часть принимает отрицательные значения только на интервале (-1;1), поэтому можно ограничиться только этими значениями. Приводим уравнение к виду

                                      t^4+14t^3+48t^2-14t+14=0.

Если t\in [0;1)\Rightarrow t^4+14t^3+48t^2+14(1-t) > 0\Rightarrow  решений нет.

Если t\in (-1;0]\Rightarrow t^4+48t^2-14t+14(1+t^3) > 0\Rightarrow решений нет.  

Вас заинтересует