Ответы
Ответ дал:
0
Ответ:
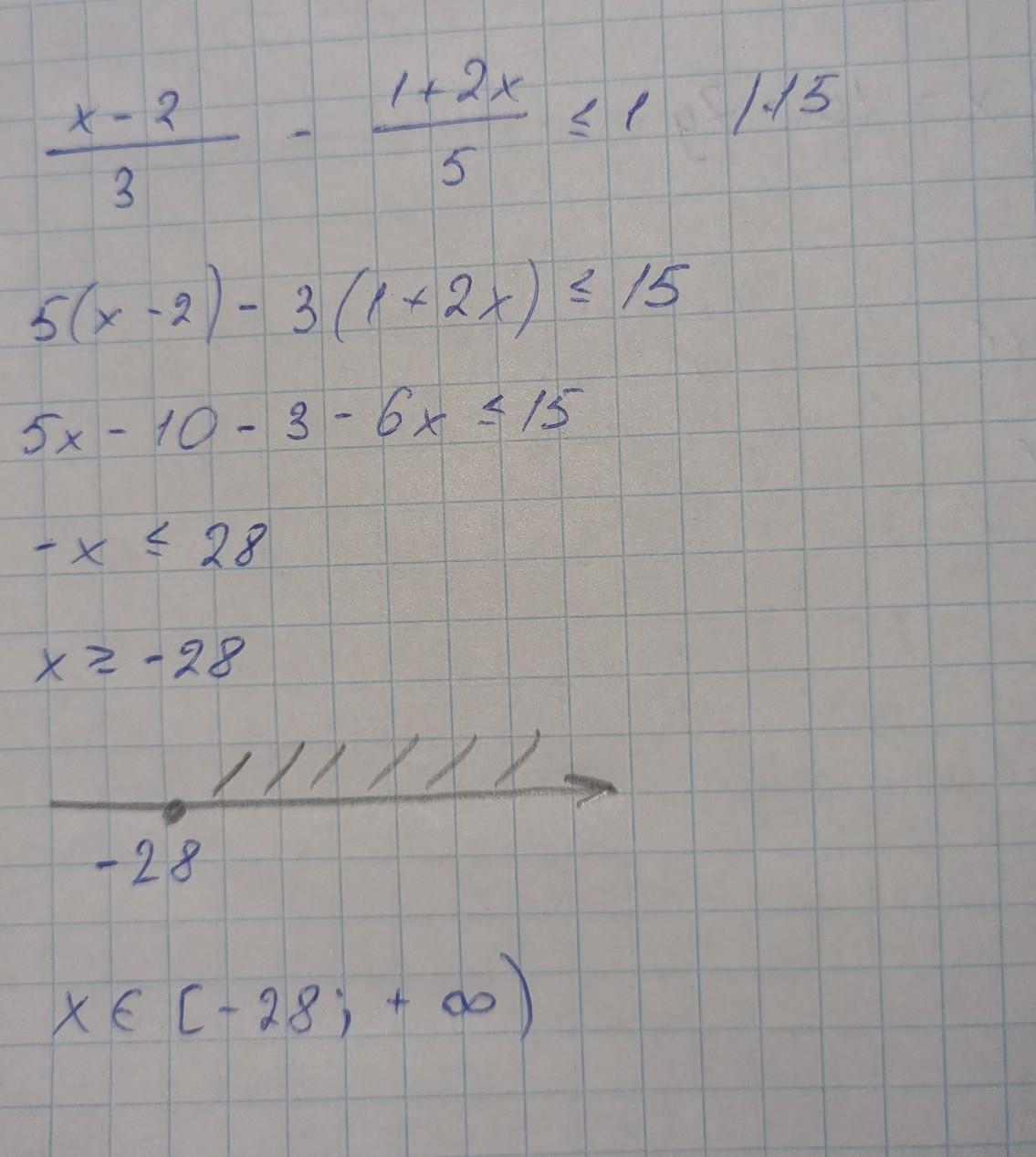
Ответ в фото выше...........
Приложения:

Ответ дал:
0
Ответ:
ось, надіюсь допомогла, якщо потрібні пояснення чому так і як, звертайтесь
Приложения:

Вас заинтересует
2 года назад
2 года назад
2 года назад
2 года назад
8 лет назад
9 лет назад