упростите алгебраическое выражение ( m/m-n - m/m+n) / 16m в третьей n/m во второй - n во второй
Приложения:
Ekaterina1819:
это один пример? после третьей идет умножение?
Ответы
Ответ дал:
27
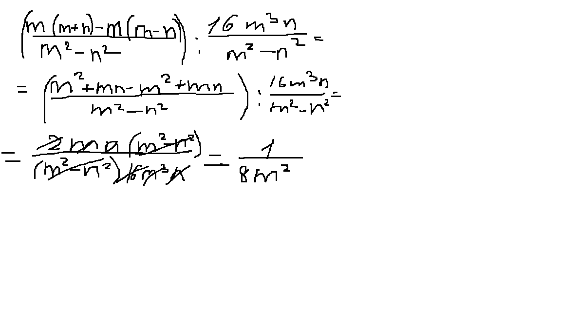
m/(m-n)-m/(m+n)=m(m+n-m+n)/(m^2-n^2)=2mn/(m^2-n^2)
2mn/(m^2-n^2) : 16m^3n/(m^2-n^2)=2mn/16m^3n=1/8m^2
2mn/(m^2-n^2) : 16m^3n/(m^2-n^2)=2mn/16m^3n=1/8m^2
Ответ дал:
14
Получится вот так :)
Приложения:
Вас заинтересует
2 года назад
2 года назад
2 года назад
9 лет назад