• Предмет: Алгебра
  • Автор: sasanadtocij301
  • Вопрос задан 7 лет назад

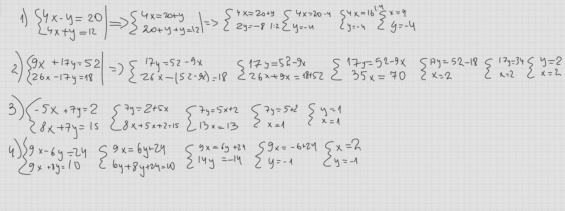
Даюююю 40 балов срочно или мама по попе даст умоляю !!!!!!!!!!!!!

Приложения:

dettt2222: я по украински не бачу
sasanadtocij301: А?

Ответы

Ответ дал: acekykixe
1

Ответ:

Полное решение

Объяснение:

Приложения:
Вас заинтересует