• Предмет: Математика
  • Автор: krysockalizocka
  • Вопрос задан 7 лет назад

50 баллов!Пожалуйста помогите

Приложения:

Ответы

Ответ дал: abdunosirw
1

Ответ:

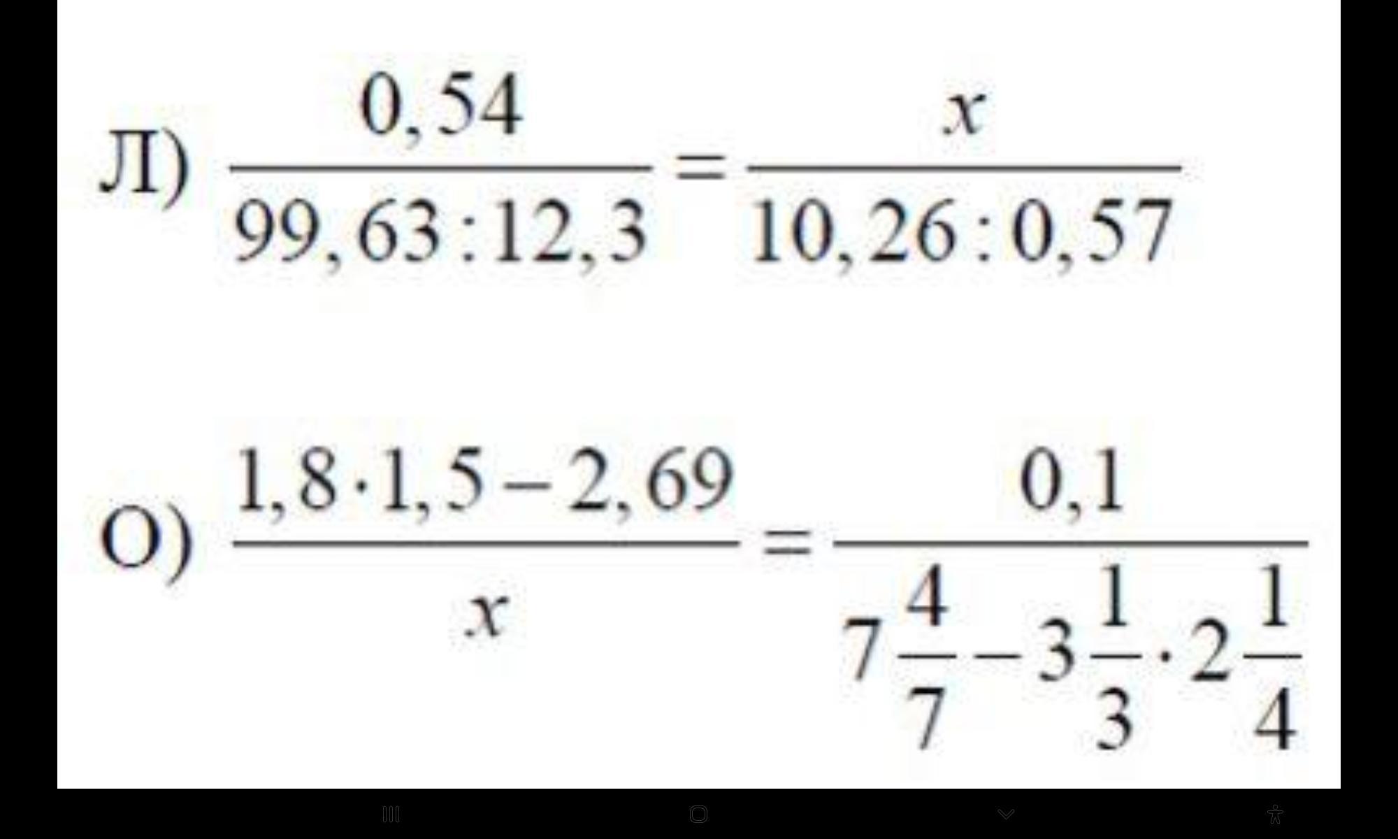
Л) 1.2

Пошаговое объяснение:

Л) Х равно на 1.2

При умножения

Х=(10,26:0, 57) *0, 54/(99,63:12.3)=1,2

Ответ дал: aesma
1

Решение готово,пожалуйста лучший ответ

Приложения:

krysockalizocka: Это правильно спасибо.
aesma: Не за что
Вас заинтересует