• Предмет: Алгебра
  • Автор: DanBruel
  • Вопрос задан 7 лет назад

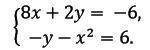
Решите систему уравнений:
8x+2y=-6;
-y-x^2=6.

Приложения:

Ответы

Ответ дал: Аноним
1

\displaystyle \left \{ {{8x+2y=-6} \atop {-y-x^2=6}} \right.\\ \\\left \{ {{8x+2y=-6} \atop {y=-6-x^2}} \right. \\\\8x+2(-6-x^2)=-6\\x=1,x=3\\y=-6-1^2;y=-6-3^2\\y=-7,y=-15\\(x_1,y_1)=(1,-7),(x_2,y_2)=(3,-15)

Ответ дал: egormcv
1

Ответ:

решение на фотографии

Приложения:
Вас заинтересует