Ответы
Ответ дал:
0
Ответ:
так вродебы
Пошаговое объяснение:
1. -504
2. -4261/4
Ответ дал:
0
Ответ:
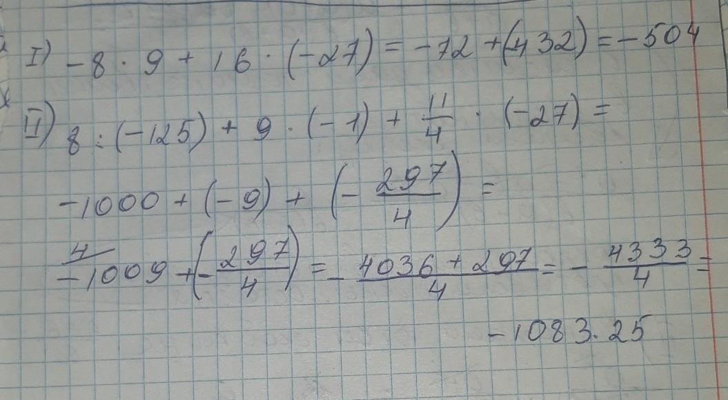
ответ:
1) -504
2)-1083.25
Приложения:

Вас заинтересует
2 года назад
2 года назад
8 лет назад
8 лет назад
9 лет назад