• Предмет: Алгебра
  • Автор: stnk8655
  • Вопрос задан 7 лет назад

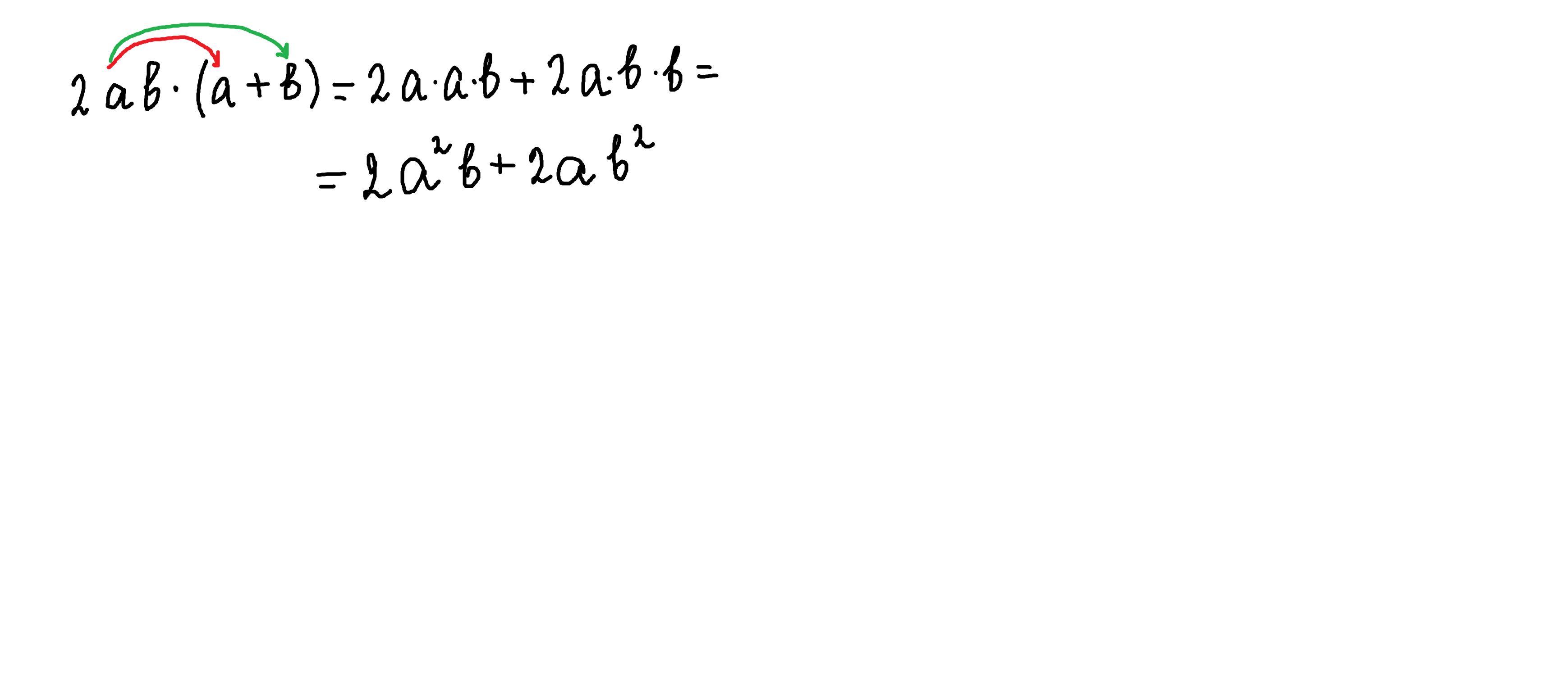
2ab×(a+b) помогите пожалуйста,не очень понимаю тему

Ответы

Ответ дал: parus77
0

Ответ:

надо каждый одночлен стоящий в скобках умножить на 2ab

Объяснение:

Приложения:
Вас заинтересует