• Предмет: Алгебра
  • Автор: denystsikhura0405
  • Вопрос задан 7 лет назад

номера
№ 1204, 1208, 1210, 1214

Приложения:

Ответы

Ответ дал: sakuralisa959
0

Ответ:

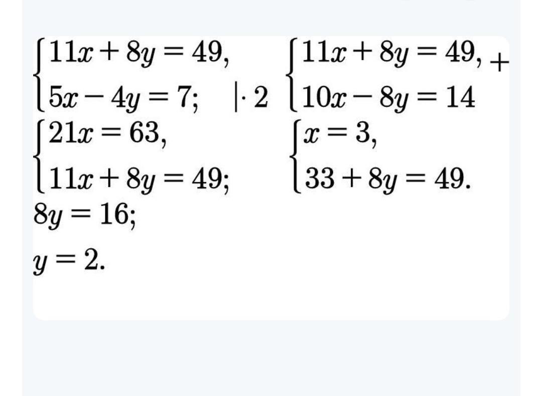
1208Нехай зошит коштує х грн, ручка - у грн. За умовою складаємо систему. Розв'язавши її, отримуємо, що х = 3 грн - ціна одного зошита, у = 2 грн - ціна однієї ручки.Якщо що відповідь не моя)знайшла

1214Пусть в первом вагоне было х пассажиров, а вот втором y, то

x+4 = y-4 и при этом (x+2) * 2 = y+24

x=y-8, тогда (y-8+2) * 2 = y+24

x=y-8 (y-6)*2 = y+24

x=y-8 2y-12 = y+24

x=y-8 y = 36

x = 36-8 = 28

Ответ : в 1 было 28, а во 2 было 36) Відповідь не моя знайшла)

Приложения:

sakuralisa959: 1204 незнаю
denystsikhura0405: дякуюю
Вас заинтересует