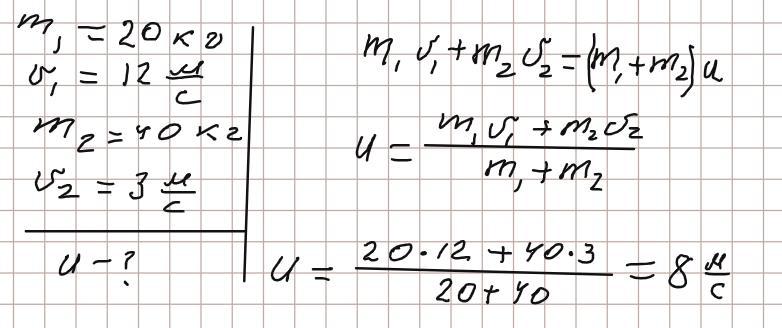
візок масою 20 кг який рухається зі швидкістю 12 м за секунду наздоганяє візок масою 40 кг що рухається зі швидкістю 3 метри за секунду в тому ж напрямі що плюється з ним Так що надалі вони рухаються разом визначити їхню швидкість після взаємодії СРОЧНО!
Ответы
Ответ дал:
0
Відповідь: 8 м/с
Пояснення:
Приложения:
Вас заинтересует
2 года назад
2 года назад
3 года назад
3 года назад
8 лет назад
8 лет назад
10 лет назад
10 лет назад