• Предмет: Математика
  • Автор: dosymkhanovadina
  • Вопрос задан 7 лет назад

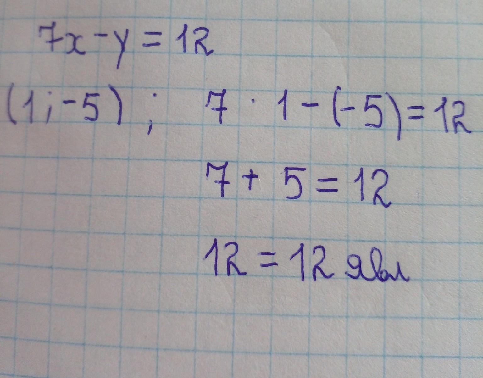
Какие из пар (1; -5), (1,25; 2); (-5; 1); (-1,25; -2); (0; -12); (2,75; 0) являются решениями уравнения: 7x-y=12
как ришать тоесть пример показано на рисунке зделайте правельно и все! кто зделает подпишусь!

Приложения:

Ответы

Ответ дал: strastnevinnosts
0

Ответ:

Пошаговое объяснение:

фото

Приложения:

strastnevinnosts: отметь решение, как лучшее, это очень мне поможет
Вас заинтересует