• Предмет: Математика
  • Автор: Аноним
  • Вопрос задан 7 лет назад

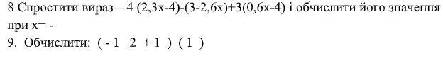
допоможіть будь-ласка

Приложения:

Ответы

Ответ дал: angelinabeca1406
0

Ответ:

-4,8х+1

Пошаговое объяснение:

-9.2х+16-3+2,6х+1,8х-12

Вас заинтересует